MENU

Quick Spacecraft Charging Analysis Tool: QUSCAT


To run the simulation, press here

The program is JAVA applet. You need a Java Appletviewer to run the program.

This program calculates temporal profile of charging potential of the following satellite.

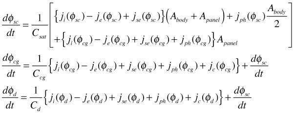
The satellite is made of four components, main body, solar panel back surface, solar panel front surface and insulator patch. Assuming the area of insulator patch is small, we neglect contribution of the current to the insulator path to the spacecraft body potential. We solve the following three differential equations that describe temporal profiles of the spacecraft potential, the solar panel front, i.e. coverglass, potential and the insulator patch potential. The solar panel back surface is assumed to be the same potential as the body.

We assume the satellite is in GEO plasma environment and consider only dominant current terms. The currents are given as functions of the surface potential, that depend on the plasma parameters, material and thickness. We assume the currents due to ambient electrons and ions follow Orbit-Motion-Limited theory.

The simulation starts automatically with default parameters as you launch the JAVA applet. To change the parameter set, press “SUSPEND” button. After changing the parameters, press “RUN” button. Then the simulation restarts with the new parameters.

The differential equations are numerically integrated by the Runge-Kutta method with fourth-order accuracy. The time step is varied to accelerate the integration. The simulation stops after 100,000 iterations. As the maximum time step is limited to 0.1msec, the longest time you can do is 10 seconds.